研究团队利用并改进了自主研发的“强氧化原子逐层外延”(GAE)方法,制备出更高晶格质量的(La,Pr)3Ni2O7/SrLaAlO4薄膜,实现了常压下最高达63K的超导起始转变温度,以及最高达37K的零电阻温度,迈斯纳抗磁性的起始温度也较此前纪录大幅提升,各项指标均为新的世界纪录。输运测量揭示高温超导电性与正常态线性电阻行为相关,磁互感测量证实该体系有远超铜氧化物的强层间耦合特性。
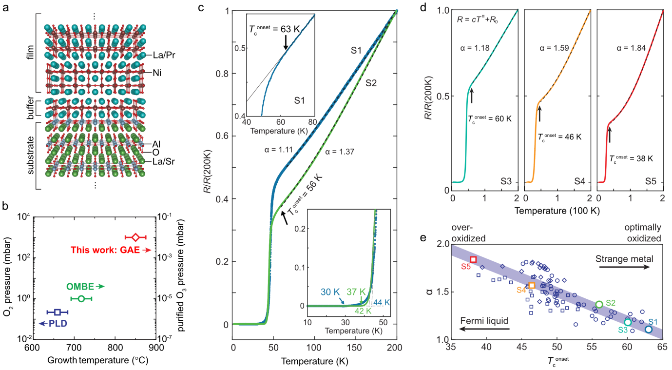
图 1:常压下Tconset超过 60 K、Tczero超过30 K的镍基超导薄膜的制备与输运性质
研究团队通过改进自主研发的“强氧化原子逐层外延”(Gigantic-Oxidative Atomic-layer-by-layer Epitaxy,GAE)方法,成功开辟了一个极端非平衡的生长窗口。通过提供比常规方法高出约1000倍的强氧化环境,并配合更高的生长温度(比传统方法高出100°C左右),有效解决了镍基超导相合成中结构稳定性和超导相所需的精准氧化态之间的热力学矛盾,实现了高质量超导薄膜的一步法原位生长。团队在SrLaAlO4衬底上成功制备出高质量的(La,Pr)3Ni2O7外延薄膜,实现了常压下Tconset最高达63K,以及零电阻温度(Tczero)最高达37K的性能新纪录(图1)。研究团队通过对90余个高质量样品的统计分析发现,超导性能的提升与正常态的“奇异金属”行为(电阻随温度线性变化)存在直接关联。当薄膜达到最优氧化状态时,其输运特征表现为典型的非费米液体行为,这一发现直接将镍基超导的高温超导电性与奇异金属物理联系在一起。
图 2:镍基超导薄膜的涡旋动力学
此外,团队利用磁互感测量技术深入研究了该体系的涡旋动力学。结果表明,与具有极强准二维特性的铜氧化物不同,该镍基体系表现出极强的层间耦合特征,具有较为显著的三维超导特性。这一发现为理解镍基超导的宏观形成机制提供了关键的实验证据。特别值得一提的是,迈斯纳抗磁性的强度显著提升,且起始温度达到23K,远超此前10K左右的纪录(图2)。
图3:镍基超导薄膜的扫描透射电子显微镜图像
为了证实GAE方法对薄膜质量的显著提升,研究团队进行了详尽的微观结构与化学成份表征。通过扫描透射电子显微镜(STEM)分析发现,薄膜在极大范围内展现出极高的相纯度和长程有序度(图3)。
图4:镍基超导薄膜的X射线衍射表征
高分辨率同步辐射X射线衍射(XRD)进一步揭示了薄膜优异的单晶质量。实验观测到了清晰的Laue振荡信号,这是界面原子级陡峭和薄膜厚度极度均匀的直接证据。倒空间映射(RSM)测量则证实薄膜与衬底之间保持了共格应力状态及四方对称性(图4)。该研究不仅创下了常压下镍基超导转变温度的新纪录,更通过高质量的薄膜样品搭建了一个理想的实验平台,可用于探索高温超导的普遍规律。这一进展标志着常压镍基超导研究进入了“60K时代”,向着更高温度的常压超导迈出了坚实一步。
南方科技大学物理系原博士后周广迪(现粤港澳大湾区量子科学中心副研究员)、原博士后汪恒(现粤港澳大湾区量子科学中心副研究员)、原研究副教授黄浩亮(现粤港澳大湾区量子科学中心副研究员)为该论文的共同第一作者。南方科技大学校长、中国科学院院士薛其坤和南科大物理系副教授陈卓昱为论文共同通讯作者。南方科技大学为论文的第一单位。该研究得到了国家自然科学基金、国家重点研发计划、广东省基础与应用基础研究重大项目、广东省量子科学战略专项、深圳市科技计划等项目的大力支持。
论文链接:
https://doi.org/10.1093/nsr/nwag151
